This calculator determines the wavelength of a signal given the frequency and dielectric constant.
Inputs
Outputs
Understanding the characteristics of electromagnetic waves, including their wavelength, is essential in various fields such as telecommunications, physics, and engineering. Wavelength represents the spatial period of an electromagnetic wave and is inversely proportional to its frequency.
To simplify the process of wavelength calculation, a Wavelength Calculator is designed to provide quick and accurate results based on user input parameters.
The Wavelength Calculator allows users to determine the wavelength of an electromagnetic wave by inputting the frequency of the wave, the dielectric constant of the medium (if applicable), and the velocity of propagation in the medium.
The calculator utilizes mathematical formulas to perform the necessary calculations and displays the calculated wavelength as the output.
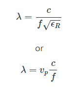
Here is the formula for Wavelength Calculation:

Where:
λ = signal wavelength
c = speed of light = 3 x 108 m/s
ϵR = dielectric constant
f = signal frequency
vp = velocity of propagation
- Frequency: The frequency of the electromagnetic wave, typically measured in Hertz (Hz) or kilohertz (kHz).
- Dielectric Constant: The dielectric constant of the medium through which the wave propagates. This parameter is relevant if the medium is not vacuum.
- Velocity of Propagation: The velocity of propagation of the electromagnetic wave in the medium, usually measured in meters per second (m/s).









