A helpful tool for calculating the impedance of a wire microstrip.
A Wire Microstrip is a type of transmission line where a wire runs above a ground plane, often supported by a dielectric material. It is used in high-frequency applications, and its characteristic impedance is influenced by factors like the wire radius, height above the ground plane, and dielectric properties of the medium.
The Free Online Wire Microstrip Impedance Calculator helps engineers quickly determine the characteristic impedance of such a configuration, which can be tedious to calculate manually.
Why Use This Calculator?
This tool simplifies complex calculations, providing quick and reliable results essential for designing high-frequency circuits:
- Quick and Accurate: Eliminates the risk of manual errors by providing precise impedance values.
- User-Friendly: Accepts common input units for wire radius, height, and dielectric constants.
- Real-Time Adjustments: Experiment with different parameter values to see their impact on impedance immediately.
- Free and Online: Accessible directly through your browser without any installation or download.
How to Use the Wire Microstrip Impedance Calculator
- Input Wire Radius (r): Specify the radius of the wire in meters, millimeters, or other supported units.
- Specify Height (h): Enter the distance between the wire and the ground plane.
- Enter Dielectric Constant (εᵣ): Provide the relative permittivity of the medium between the wire and the ground.
- Click Calculate: Instantly get the characteristic impedance value.
Formula
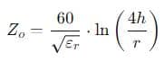
The characteristic impedance ZoZₒ of a wire microstrip is calculated using the following formula:

Where:
- Zₒ: Characteristic Impedance (Ohms)
- : Relative permittivity of the dielectric
- : Height of the wire above the ground plane (meters)
- r: Radius of the wire (meters)
Applications of Wire Microstrip Impedance
Wire microstrips find usage in several critical areas of electronics, including:
- High-Frequency Circuit Design: Used in microwave circuits and RF components.
- Antenna Feed Lines: Supporting efficient signal transmission in antenna systems.
- Impedance Matching: Ensuring compatibility between components to minimize signal loss.
- Transmission Lines: Enabling signal propagation in controlled impedance environments.
This calculator is an essential tool for RF engineers and circuit designers working on microstrip-based systems.








